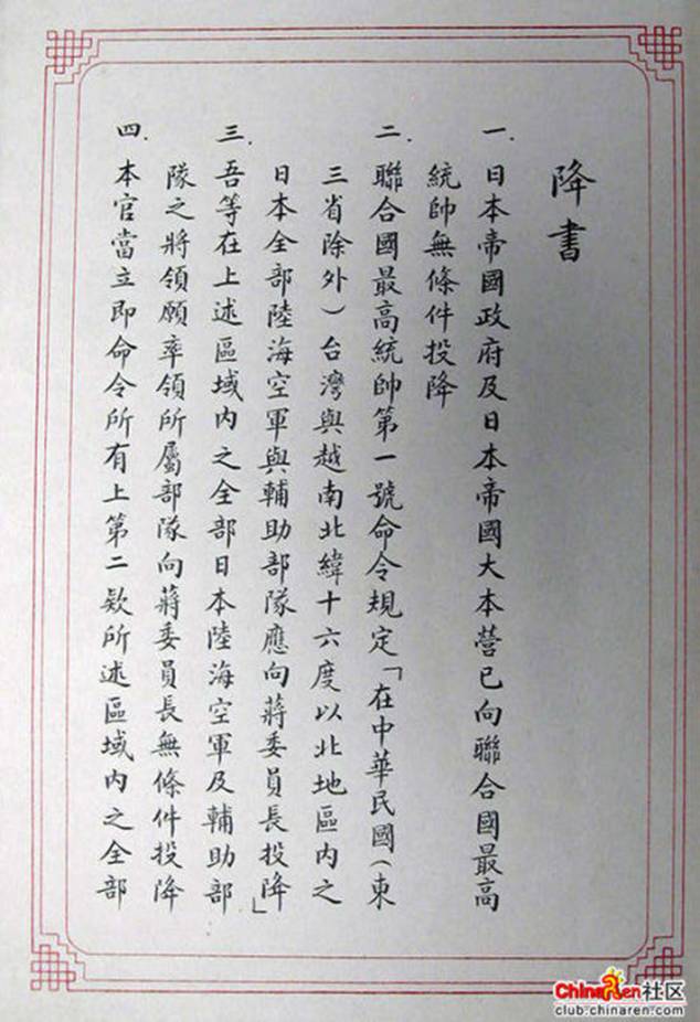
你看過日本投降書嗎?
資料提供者:Sidddney Chen
2013年6月25日
(2011-02-26 21:36:45)
引言:流著淚看完這篇網文,為自己曾經的無知,為那些被曲意踐踏的英靈!
作為一個中國人,第一次看到了日本投降書,我不知是該感到慶賀還是該感到悲哀;
作為一個中國人, 第一次知道國軍在抗戰中是如此英勇無畏,我不知是該感到自豪,還是該感到羞辱;
我曾經那麼恨的“國民黨反動派”,我曾經那麼恨的張靈甫原來都是抗戰英雄……
“醒來,不願做愚民的人們!”
歷史如此不堪入目:我們卻依然活在欺騙中,原來我們和日本人一樣都在篡改著歷史。
—— (崔永元說:你可以不說,但是你不能撒謊!)現在看來,不能拿聖人的標準去衡量政客了。政治是無情的,甚至是殘酷的;喉舌是機械的,甚至是麻木的,有時毫無公允和客觀可言。
七十年過去了,有幾個中國人知道同盟國二次大戰中國戰區最高司令是蔣介石。七十年過去了,有幾個中國人知道 在內戰中“惡貫滿盈”的“中美合作所”在抗戰中是盟軍重要的情報機關。
七十年過去了,有幾個中國人知道在影視作品中惡貫滿盈的張靈甫是抗戰英雄。在長沙會戰中,他率領敢死隊包抄小道,夜奪張古峰,為國軍成功阻擊日軍立下汗馬功勞。張靈甫還為抗戰丟了一條腿。

七十年過去了,有幾個中國人知道抗戰中唯一全殲日本師團的戰役-萬家嶺大捷。有幾個中國人知道殲敵13余萬人的三次長沙會戰。
七十年過去了,有幾個中國人知道被吹的神乎其神的平型關大捷是平型關戰役的一部分,而平型關戰役又是太原會戰的一部分,沒有國民黨第二戰區的配合,哪來的所謂“大捷”。七十年過去了, 有幾個中國人知道抗戰中被日本人認為僅有的兩次中國軍隊的勇猛程度要超過自己的戰役之一的桂林保衛戰(另一次為昆侖關戰役日軍第5師團被中央軍第5軍擊敗)。
七十年過去 了,有幾個中國人知道隨棗會戰中士兵以血肉之軀與敵人坦克相搏鬥,官兵竟攀登敵人的坦克之上,以手榴彈向車內投擲,作戰之勇敢與犧牲之壯烈,筆難盡述。
七十年過去了,有幾個中國人知道抗戰期間戰線最長的會戰-武漢會戰。有幾個中國人知道在武漢曾經上演了一場規模僅次於英德倫敦空戰的武漢空戰,有幾個中國人知道宋美玲女士為鼓舞官兵士氣五次趕赴武漢前線差點被日本人炸死。七十年過去了,大家只知道毛澤東的論持久戰,卻不知道在他之前已有不少人提出過類似的理論,其中就包括蔣介石(31年)和蔣百里(36年),毛只是借鑒後加以改進(38年)。
七十年過去了,也許中國人從來就沒有認真的想過為什麼作為中流砥柱的領袖在抗戰期間除了一篇論持久戰和幾次講話外幾乎沒有其他作為。他從來沒有上過一次抗戰前線,從來沒有直接或間接的指揮過一場對日作戰?(說的漂亮不等於做的漂亮)
七十年過去了,有幾個中國人發出過這樣的疑問:55年授銜的共和國將帥們都少有抗戰的經歷。而國民黨高級將領幾乎個個與小日本幹過。七十年過去了,在大陸的主流媒體和教科書上沒有把抗日戰爭的所有戰役完整的介紹過一次,甚至連起碼的大事記也沒有。七十年過去了,有幾個中國人看過日本的投降書?難道就是因為上面寫著大日本皇軍向國民政府投降向蔣委員長投降之類的字眼?七十年過去了,有幾個中國人知道
七十年過去了,蔣介石動用70萬國軍發動了淞滬會戰。在會戰中,國軍空軍炸毀日本海軍陸戰隊司令部,炸沉日本海軍第3艦隊旗艦,國軍陸軍為補充戰損而五次發佈動員令,超過半數的團職以上高級將領以身殉國。淞滬會戰未能阻止日軍佔領上海,卻改變了日軍在中國戰場的戰略部署,還為上海資本向西轉移贏得三個月時間。
七十年過去了,有幾個中國人知道最讓外國人刮目相看的不是葉挺的新四軍,而是孫立人的新一軍。新一軍遠征緬甸,以傷亡1.7萬人的代價擊斃擊傷日軍10.9萬人。在新一軍攻佔緬甸重鎮於邦的時候,下屬向孫立人詢問如何處理日軍戰俘,
孫將軍的回答是:你去問問那些狗雜種,都誰到過中國,到過中國的就地槍斃,以後都這樣辦。
七十年過去了,有幾個中國人知道八路軍在平型關大捷中只不過是消滅了一支日軍運輸隊。而且平型關大捷 只是平型關戰役的一部分,平型關戰役又是太原會戰的一部分。
七十年過去了,有幾個中國人知道李向陽和他的遊擊隊是虛構的,真正讓日軍聞風喪膽的軍隊是國軍的委員長衛隊。這支軍隊使用德軍的裝備, 甚至有德軍教官親手指導。在南京雨花臺,委員長衛隊的兩個營獨自阻擊日軍一個甲種師團(在第二次世界大戰中,日軍一共只有六個甲種師團),平均每個士兵要堅守
七十年過去了,有幾個中國人知道在常德保衛戰中,74軍57師的8000名官兵阻擊10萬日軍15天之久,最後只有200人能夠戰鬥。師長發出了74軍57師最後一封電報:彈盡,援絕,人無,城已破。職率副師長、師附、政治部主任、參謀部主任死守中央銀行,各團長劃分區域,扼守一屋,作最後抵抗,誓死為止,並祝勝利。74軍萬歲!
七十年過去了,有幾個中國人知道在武漢上空爆發過持續時間僅次於不列顛空戰的 武漢空戰。那場空戰中,國軍空軍擊落日軍飛機78架,炸沉日軍艦艇23艘。那個時候,每當防空警報響起,很多武漢市民不是鑽進防空洞,而是爬上房頂,為的是能看到日軍飛機被擊
落的場景。
七十年過去了,有幾個中國人知道在重慶有17家軍工廠在敵機轟炸下堅持24小時不間斷生產。 以金陵軍工廠為例,抗戰期間共生產迫擊炮7000門、重機槍1.8萬挺、步槍28萬支、手榴彈30萬枚、de-tona-tor包20萬個。
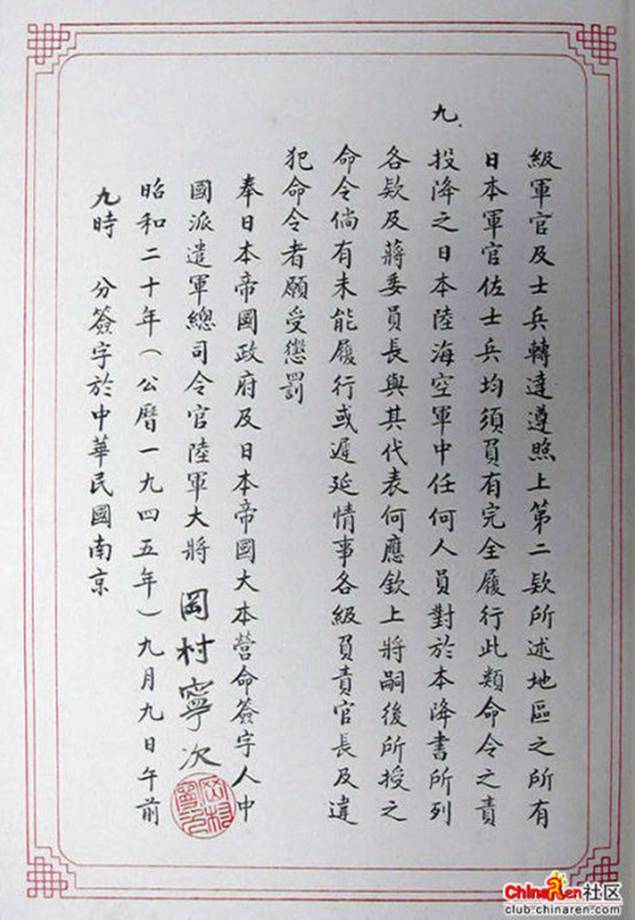
六十多年過去了,有幾個中國人知道日軍投降書是什麼樣子。為什麼G.C.party(共產黨)只宣傳9.18日軍侵華而不宣傳8.15日軍投降,不讓國民看看日軍投降書?難道僅僅是 因為文中多次出現:日本陸海空軍及其輔助部隊向蔣委員長投降。或者是因為受降落款是:中國戰區最高統帥特級上將蔣中正特派代表陸軍一級上將何應欽。



日本皇軍于1945年向中國投降的歷史照片,僅僅留存在我們的眼中!
要知道,偉大的中國衛國戰爭是世界四大反法西斯戰爭之一!它不是用遊擊戰、麻雀戰、地道戰、地雷戰就能打贏的。它是用重兵集團與敵人浴血奮戰才打贏的!戰爭期間,國軍陸軍有3211418名官兵壯烈犧牲, 其中包括8名上將,41名中將,71名少將。國軍空軍有6164名飛行員血灑長空,2468架戰機被擊落。國軍海軍全軍覆沒,所有艦艇全部打光。

在一次紀念抗戰六十周年的訪談節目中,中央台邀請到了幾位“飛虎隊”,那幾位老飛行員顯然有點“不識時務”,大談特談當時怎麼與國民政府和國軍合作抗日的,說的是口若懸河,激情澎湃,絲毫不顧忌中國執政黨的臉面。也許是談的太多了,於是主持人插話,問他們當時有沒有聽說“延安”“共產黨”和“毛澤東”,那些傻里巴幾的美國老兵一個勁的搖頭,場面有些尷尬。這個節目在中央九套播出過,看過的朋友應該都清楚。不知道大家是否記得白嚴松在臺灣訪問連戰時的情景,當連戰談 到抗日的時候緊張的氣氛再次出現,我們的小白拼命將連主席的話頭打住,場面甚是好笑。
我想問一句:難道抗戰的歷史真相就真的那麼可怕?真會威脅到政局的穩定?如果真是這樣的話,恐怕我們過去的宣傳真的是有“問題”了。七十年後的今天,大多中國人只知道平型關、百團大戰,盧溝橋、台兒莊、再加上南京大屠殺,要知道這幾場 的作戰都是中日戰爭中的次要作戰,甚至連會戰都談不上。假如中國人自己都搞不懂抗日戰爭的歷史的主流與重心,日本人當然也就樂得敷衍混過了。假如中國只靠「麻雀戰爭」、「地道戰」、「地雷戰」來對抗日本的大軍,中國哪里會有出席“開羅會議”、發表《波茨坦宣言》、成為“聯合國創始四強”、以及安理會常任理事國的地位與資格。腦海裡突然浮現出去年諾曼第紀念儀式上佩戴著勳章,意氣風發的二戰老兵。

中華民國軍事委員會委員長蔣中正、美國總統羅斯福、與英國首相邱吉爾在埃及首都開羅,
竟是什麼使我們一次次把階級矛盾淩駕於民族矛盾之上。難道所謂的“意識形態”真的能把中國人的心理扭曲到如此地步;往者雖已逝,來者猶可追。那些國軍的抗日老戰士應該得到尊重,哪怕是遲到的尊重。這份記憶屬於他們,也屬於這個國家,屬於這個民族,屬於子孫後代。但我們錯過了,錯過了最後彌補遺憾的機會。也許是出於某壓力或心理,對那場戰爭我們正在遺忘,而且是有“組織”的,有“選擇性”的集體遺忘。
七十年過去了,我們都應該捫心自問一下!
我們不是反G(共),只是我們都要尊重歷史!
(圖文來自網路, 誠謝作者,讓我們走近真實的歷史)